LK-99 검증위 "국내 네 곳 재현실험서 초전도성 사례 없어"(종합)

(서울=연합뉴스) 조승한 기자 = 한국초전도저온학회 LK-99 검증위원회는 'LK-99' 재현실험을 진행한 국내 연구기관 네 곳에서 초전도 특성을 보여주는 사례는 나오지 않았다고 31일 밝혔다.
검증위는 이날 서면브리핑에서 서울대 복합물질상태연구단, 한양대 고압연구소, 부산대 양자물질연구실, 포항공대 물리학과 연구팀 등 4곳이 진행한 LK-99 재현실험 결과 이같이 나타났다고 밝혔다.
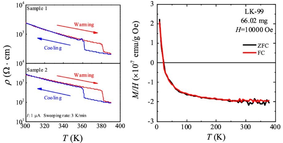
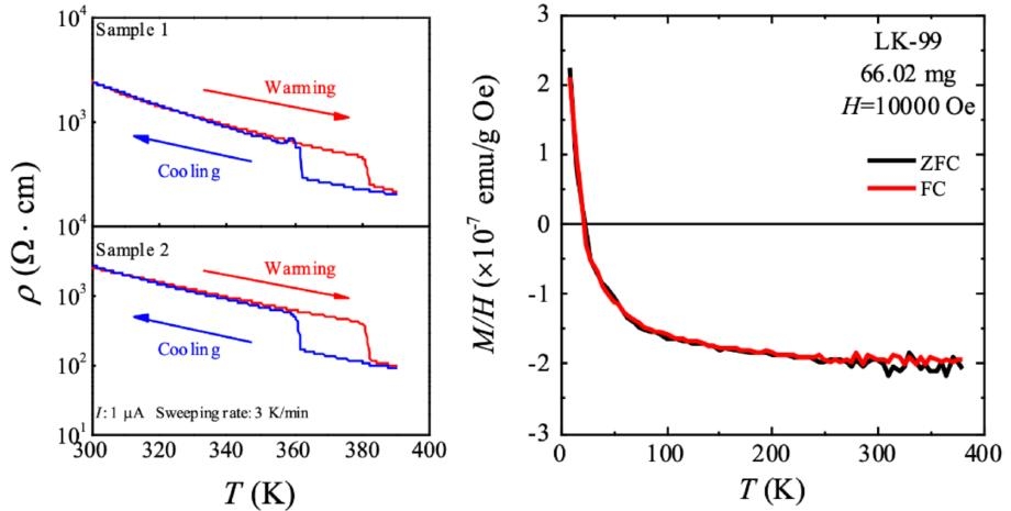
검증위에 따르면 서울대와 한양대, 부산대 연구팀은 논문에서 나온 LK-99 제조방법을 따라 샘플을 제조했는데, 부도체에 가깝거나 저항이 어느 정도 남아있는 특성을 보였다.

한양대 고압연구소가 만든 샘플은 LK-99와 조성, 특성이 비슷한데, 저항이 급격히 변하지만 고유저항(저항율)이 부도체에 가깝고 자화율도 초전도체와 다른 특성을 보인다고 검증위는 설명했다.
서울대 복합물질상태연구단의 샘플은 LK-99와 다소 다른 결정구조를 가지고, 저항율이 온도가 내려가면서 5~10배 늘어나는 모습을 보였다. 또 자화율 측정에서는 약한 반자성 특성이 나타났다.

부산대 양자물질연구실은 합성된 전구체 조성비율을 조금 다르게 해 두 종류의 샘플을 만들었는데, 첫 샘플은 저온에서 저항이 증가하는 반도체 성질을 보였다. 두 번째 샘플은 추가 측정을 진행하고 있다고 검증위는 설명했다.
포항공대 연구팀은 LK-99 단결정을 만드는 별도 공정을 택했는데, 부도체 특성이 나타났다고 검증위는 밝혔다.
이는 독일 막스플랑크연구소에서 발표한 결과와 일치한다고 검증위는 덧붙였다.
검증위는 단결정을 보는 이유에 대해 단결정 특성을 정확히 파악하게 되면 그 외 현상을 불순물에 의한 특성으로 볼 수 있기 때문이라고 설명했다.

이번 검증결과 중 서울대와 한양대, 부산대 결과는 지난 23일 열린 초전도저온학회 LK-99 비공개 간담회에서 발표됐다. 포항공대 결과는 이후 전달됐다고 검증위는 설명했다.
검증위는 현재 재현실험연구를 진행 중인 기관이 총 여덟 곳이며, 간담회 이후 재현실험에 참여 의사를 밝힌 기관들이 1~2곳 있다고 밝혔다.
검증위는 "외국 재현실험 연구 결과를 봐도 알 수 있듯 연구기관별로 제조한 샘플의 특징이 크게 다르다"며 "여러 연구기관이 다양한 방법으로 가능한 많은 샘플을 재현해 측정하는 게 결론 도출에 도움이 된다"고 전했다.
shjo@yna.co.kr
(끝)
<저작권자(c) 연합뉴스, 무단 전재-재배포 금지>